ナノ材料の一つであるナノ薄膜は,一般的なバルク材料と比べて表面・界面の割合が多く,場合によっては,結晶の応力状態・対称性すら変わってしまうこともあります.このようなナノ薄膜という特殊な状態では,今までにない新しい物性・新しい機能を発現することがあります.それを目標に,結晶構造,成長形態,表面状態などを制御してナノ薄膜を作成しています.更には,電子顕微鏡・X線回折装置・電子分光装置などの評価装置・分析設備も駆使して,新物性発現のメカニズム解明にも取り組んでいます.
現在,特に積極的に取り組んでいる研究は,薄膜の電気・磁気特性,水素化特性,圧電特性です.
現在,特に積極的に取り組んでいる研究は,薄膜の電気・磁気特性,水素化特性,圧電特性です.
代表的な研究
- ナノヘテロ構造の磁性薄膜
- 材料がナノスケールになると,材料全体が界面の影響範囲内となり,材料を構成する物質と異なる新しい物性が出現します.例えば,鉄とクロムのナノスケールの多層膜は巨大磁気抵抗効果を示すことはよく知られている例です.本研究室では磁性金属と窒化物,酸化物などのナノヘテロ構造を設計・作製し,次世代の磁気記録や,磁気センサなどに応用できる優れた物性を持つ新しいナノ構造の創成を目指しています.
図1は,コバルト―白金合金と窒化アルミニウムからなる多層膜(CoPt/AlN多層膜)の断面電子顕微鏡写真で,コントラストの暗い層はCoPt層,明るい層はAlN層です.このような構造について,各層の厚さや熱処理温度のコントロールによって,磁気的な特性を自在に制御することができます.例えば,面内磁気異方性,垂直磁気異方性,二段階に磁化する特性など,同じ試料でも熱処理条件が違うだけで異なる特性を示します.図2には,熱処理後のそれぞれの試料の磁化曲線を示しています.全ての試料は強い垂直磁気異方性を示し,最表面のCoPt層の厚さによって,2段階磁化の各段階の磁化量も制御できることがわかります.
現在は,こうした知見を基に,更に応用的な研究,例えば,電子データを効率的に保存するための磁気抵抗メモリ(MRAM)や, 高感度磁気センサの実現に向け,
・電流誘起磁壁移動が可能なMn4N薄膜
・強磁性体と反強磁性体の界面で生じる交換バイアス
・ハイエントロピー合金薄膜の磁気特性・電気特性
・異常ホール効果・磁気光学カー効果を用いた薄膜物性の測定
などの研究に取り組んでいます.更には,金属の枠にとらわれずに,絶縁体―金属相転移を示すVO2酸化物などの新奇薄膜材料についても作成方法とその物性についても調査を進めています.今後は,これら薄膜と磁性薄膜との複合膜についても研究する予定です.これらは,IoTやニューロモルフィックコンピューティングなでの応用を目指しており,自ら考えたアイデアを形にできる点が研究の大きな魅力です.
図1.CoPt/AlN多層膜の透過電子顕微鏡写真 図2.CoPt/AlN多層膜の磁気特性 - 水素化物の物性・水素センサ
- 脱炭素・カーボンニュートラルを可能にする水素社会の実現に向け,水素化物の物性,並びに,水素センサ材についても研究しています.
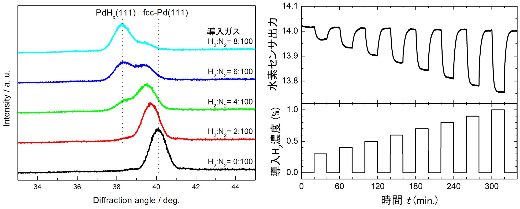
図3はパラジウム(Pd)薄膜の水素化過程を,X線回折法によりin-situ観察した結果です.Pdの111ピークが,水素導入に伴って移動(左方向へピークシフト)している事が観察されています.詳細に解析すると,水素低濃度の時には,水素の侵入固溶による格子膨張が起こり,水素濃度4%前後においてパラジウム水素化物(PdHx)相が新たに形成されるとわかります.このような測定を系統的に行うことにより,バルクとは異なる挙動を示す薄膜(=結晶粒のサイズが,ナノメートルオーダーと微小であり,サイズ効果などが現われる)における水素化過程について調査しています.この他,最近,水素化物では負性抵抗特性という変わった物性が現われることも明らかにしました.こちらは,現在,研究を進めておりますが,このように,水素化物には,未知の世界が多く残っており,冒険するような気持ちで研究を進めています.
更に,発展的な研究として,水素センサ材の開発,並びに,水素検出方法の提案を行っています.水素ガスは,燃焼時に温室効果ガスCO2を放出しないクリーンなエネルギー源ですが,可燃性ガスであり,空気中ではわずか4%という非常に薄い濃度であっても爆発する危険があります.そこで,水素の漏れを検出する水素センサが求められており,図4に,本研究室にて開発された水素センサの検出特性を示します.導入水素ガスのプロファイルに従って,水素センサの出力シグナルも変化しており,例えば,0.3%の水素ガスを確かに検出できていることが判ります.現在は,より性能の良い水素センサを実現するべく,歪に敏感な磁性合金(磁歪合金)であるパラジウム-コバルト(PdCo)合金などを用いて水素吸蔵により生じた格子膨張を磁気的に検出することを目指しています.
図3.X線回折によるPd薄膜の水素化in-situ観察 図4.本研究室で開発された水素センサの水素検出特性
- エネルギー変換素子・デバイスの開発
- 周囲の環境に存在する光や熱, 振動といった自然エネルギーをエネルギー変換素子により電力に変換するエナジーハーベスティングは, IoTセンサやアクチュエータを半永久的に作動させることができる画期的な技術として期待されています.
例えば, 渦励起振動を用いた発電素子では低流速でも振動が励起され, 共振現象を利用して大きな出力を得られると見込まれています. 流れ場に非流線形の物体(ブラフ体)を設置すると,
その物体の背後から「カルマン渦」という現象が発生し, 正弦波の圧力を引き起こします. この圧力の周期と強さは, 有限要素解析によると,流体の速度とブラフ体のサイズに大きく依存します.
そして,この渦は,電歪材料や磁歪材料などのエネルギー変換素子を利用することで電力に変換することができます. カルマン渦はカンチレバーに付いた電歪素子に当たると,
渦の周波数と一致する交流電圧が発生します. 更に, マスの重さやカンチレバーのサイズを調整し, デバイスの固有周波数を渦の周波数にマッチングさせると,
共振を実現する際の出力電力を大幅に増加させることが可能です. 共振時の出力電力の理論計算結果を示します. ブラフ体とデバイスの間に最適な距離を取ると,
最大出力は数十μWになり, ブルートゥースの発信などに対して十分な電力を供給しうると考えられています.
主な研究成果
- 垂直磁気異方性・交換バイアス
- 電子データを効率的に保存するための磁気抵抗メモリ(MRAM)の実現に向け、垂直磁気異方性薄膜や、強磁性体と反強磁性体の界面で生じる交換バイアスなどの研究に取り組んでいます。(Appl. Phys. Lett. 90 (2007) 212506、Acta Mater. 60 (2012) 6770、J. Appl. Phys. 113 (2013) 17D707、Phys. Rev. B 94 (2016) 054412、 Phys. Rev. B 98 (2018) 144406、Sci. Adv. 5 (2019) aax4278など)
- 新奇薄膜
- 新奇薄膜材料であるMn4N、VO2、L11-CoPtなどの作成方法・物性も研究しています。(Mater. Lett. 311 (2022) 131615、Surf. Coat. Tech. 436 (2022) 128312、J. Magn. Magn. Mater. 471 (2019) 406など)最近は、ハイエントロピー合金(HEA)薄膜についても研究しています。(J. Alloy. Compd. 938 (2023) 168533など)
- メモリスタ
- データの新しい保存・演算方法としてメモリスタが注目されており、磁性薄膜作成で培った技術を活用して、メモリスタ薄膜も研究しています。(Adv. Funct. Mater. 30 (2020) 2007101など)
- 磁歪
- 磁歪とは、強磁性が磁化する際に、その長さが若干変わる(歪む)現象のことです。現在、この逆の現象である逆磁歪現象を用いて、機械-磁気間のエネルギー変換にも取り組んでいます。(J. Magn. Magn. Mater. 394 (2015) 349、J. Appl. Phys. 126 (2019) 083906 など)
- 薄膜の水素化
- 薄膜は、基板上に形成されるため、基板の影響を非常に強く受け、それにより、薄膜の水素化特性(プラトー圧など)が変化すると知られていますが、その全容解明を進めてます。(AIP Adv. 7 (2017) 065108、Int. J. Hydrogen Energy 45 (2020) 11662など)
- 金属水素化物の物性
- 金属水素化物の新しい物性として、負性抵抗特性の観測に成功しました。(Mater. Horizons 10 (2023) 5143など)
- 水素センサ
- 水素は、可燃性のガスであるため、安全に取り扱うためには水素の漏れを検出する水素センサが求められております。水素検出薄膜材料、並びに、水素検出方法/アルゴリズムを研究しています。(Int. J. Hydrogen Energy 46 (2021) 30204、Int. J. Hydrogen Energy 47 (2022) 34291、受賞など)
- 反応性スパッタリング
- 金属ターゲットと酸素・窒素ガスを反応させることで、機能性酸化物・窒化物薄膜を作成しています。(J. Appl. Phys. 113 (2013) 084306、 J. Magn. Magn. Mater. 473 (2019) 490、Mater. Lett. 311 (2022) 131615など)
- 応力解析
- X線回折法や基板そり法を用いて、薄膜の応力測定を行っています。